next up previous contents index
Next: Non-Hermitian Eigenproblems  J. Demmel Up: Singular Value Decomposition  J. Previous: Related Singular Value Problems   Contents   Index


Example

We continue to use the example introduced in §2.1 and Figure 2.1. We again consider the case with arbitrary masses $m_i>0$, and zero damping constants $b_i=0$. This simplifies the equations of motion to $M \ddot{x}(t) = -K x(t)$. As in §2.3.8 we solve the equations of motion by substituting $x(t) = e^{\lambda t} x$, where $x$ is a constant vector and $\lambda$ is a constant scalar to be determined. This leads to $Kx = -\lambda^2 Mx$. Letting $M = LL^T$, where the Cholesky factor $L = {\rm diag}( m_1^{1/2} ,\ldots, m_n^{1/2} )$, we see that we need to compute the eigenvalues of the symmetric tridiagonal matrix $\hat{K} = L^{-1}K L^{-T}$ shown in equation (2.2).

Now we note that the stiffness matrix $K$ can be factored as $K = BD^2B^T$, where $D = {\rm diag}(k_1^{1/2} ,\ldots, k_n^{1/2})$ and

\begin{displaymath}
B = \bmat{cccc} 1 & -1 & & \\ & \ddots & \ddots & \\ & & \ddots & -1 \\ & & &
1 \emat.
\end{displaymath}

This lets us write

\begin{eqnarray*}
\hat{K} & = & L^{-1} K L^{-T} = L^{-1} B D^2 B^T L^{-T} \nonum...
...^T L^{-T})
= (L^{-1} B D) \cdot (L^{-1} B D)^T
\equiv GG^T.
\end{eqnarray*}



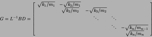
Therefore, the singular values of the bidiagonal matrix

\begin{displaymath}
G = L^{-1}BD =
\bmat{ccccc}
\sqrt{k_1/m_1} & -\sqrt{k_2/m_1...
... \ddots & -\sqrt{k_n/m_{n-1}} \\
& & & & \sqrt{k_n/m_n}\emat
\end{displaymath}

are the square roots of the eigenvalues of $\hat{K}$, and the left singular vectors of $G$ are the eigenvectors of $\hat{K}$.

Bidiagonal matrices have particularly fast and efficient SVD algorithms.


next up previous contents index
Next: Non-Hermitian Eigenproblems  J. Demmel Up: Singular Value Decomposition  J. Previous: Related Singular Value Problems   Contents   Index
Susan Blackford 2000-11-20